抗震支架设计与应用

发布时间:2018-11-13    来源:

抗震支吊架可在地震中给予机电各系统充分保护,可用于抵抗来自水平及垂直方向的地震力的破坏。 根据所保护机电系统的不同,抗震支吊架可分为管道抗震系统、风管抗震系统和电气(包括电气线管、线槽 及桥架)抗震系统。

抗震支架产品以及配套锚栓产品的验收、质量应满足(不限于)如下标准和国家现行规范标准的要求:

GB50011-2010《建筑抗震设计规范》

GB50981-2014《建筑机电工程抗震设计规范》

GB50242-2002《建筑给排水及采暖工程施工质量验收规范》

GB50234-2002《通风与空调工程质量验收规范》

《自动喷水灭火系统施工及验收规范》GB50261-2005

《建筑电气工程施工质量验收规范》GB50303-2002

《03S402室内管道支架及吊架》

注:以上规范要求已有更新。

抗震支架规范

GB50011-2010:

1.0.2条 抗震设防烈度为6度及以上地区的建筑,*须进行抗震设计。

3.7.1条 非结构构件,包括建筑非结构构件和建筑附属机电设备,自身及其与结构主体的连接,应进行抗震设计。

*13章 非结构构件抗震设计的计算与抗震措施。

GB50981-2014:

1.0.4条 抗震设防烈度为6度及6度以上地区的建筑机电工程*须进行抗震设计。

5.1.4条 防排烟风道、事故通风风道及相关设备应采用抗震支吊架。

7.4.6条 设在建筑物屋顶上的共用天线应采用防止因地震导致设备或部件损坏后坠落伤人的*全防护措施。

GB50981-2014规定了需进行抗震支吊架的设置范围:

悬吊管道中重力大于1.8kN的空调机组、风机等设备;

DN25以上的燃气管道;

DN65以上的生活给水、消防管道、柔性连接的质量为9kg~25kg的管道附件以及刚性连接的质量大于25kg以上管道附件;

矩形截面面积大于等于0.38m2和圆形直径大于等于0.7m的风管系统;

对于内径大于等于60mm的电气配管及重力大于等于150N/m的电缆梯架电缆槽盒、母线槽;

所有规格的防排烟风道及事故通风风道及其设备。

管线的选取:

给水排水及消防、供暖、通风、空调、燃气、热力、电力、通讯;

按不同系统管道规格或重量进行选取;

可单管设置,也可设置多管共架综合抗震支架;

在规范41页的条文说明:

悬吊管道中重力大于1.8KN的设备;

DN65以上的生活给水、消防管道系统;(针对水管)

矩形截面面积大于等于0.38平米和圆形直径大于等于0.7m的风管系统;

对于内径大于等于60mm的电气配管;

重力大于等于150N/m的电缆梯架、电缆槽盒、母线槽;

内径大于等于25mm燃气管道;

支架布置及相关要求

抗震支吊架的*大间距 表8.2.3

改建工程*大抗震加固间距为上表数值的一半;

注:这个表格是抗震支架平面布置图的设计基本依据,也是规范中关于抗震支架设计的核心内容。

抗震支吊架的间距计算:

可解读为:

抗震支架设置间距不一*是管线种类的*大间距;

间距与地震作用大小有关,当αEK大于1.0时,支架需加密;

与斜撑角度有关,当斜撑竖向夹角小于45度,支架需加密;

采用双向支架和横向支架交替布置的形式比较合理:

3.4.2 当计算两个连接在一起、抗震措施要求不同的机电设备时,应按较高要求进行抗震设计。建筑机电设备连接损坏时,不应引起与之相连的有较高要求的附属机电设备失效。

注:比较好理解,综合抗震支架按较*标准的的管线进行计算设防。

抗震支吊架布置原则:

8.3.1 每段水平直管道应在两端设置侧向抗震支吊架。

8.3.2 当两个侧向抗震支吊架间距超过*大设计间距时,应在中间增设侧向抗震支吊架。

8.3.3每段水平直管道应至少设置一个纵向抗震支吊架,当两个纵向抗震支吊架距离超过*大设计间距时,应按本规范第8.2.3条要求间距依次增设纵向抗震支吊架。


8.3.5刚性连接的水平管道,两个相邻的抗震支吊架间允许纵向偏移值。应符合下列规定:

1 水管及电线套管不得超过*大侧向支吊架间距的1/16;

2 风管、电缆梯架、电缆托盘和电缆槽盒不得超过其宽度的两倍。


举例:*大偏移量计算12/16=0.75米,这个条件很苛刻。

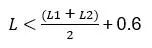
8.3.6 水平管道应在离转弯处0.6m范围内设置侧向抗震支吊架;若斜撑直接作用于管道,其可作为另一侧管道的纵向抗震支吊架;距下一纵向抗震支吊架间距应按下式计算:


式中: L为距下一纵向抗震支吊架间距(m); L1为纵向抗震支吊架间距(m); L2为侧向抗震支吊架间距(m)。

举例:L1=24米,L2=12,则:计算L=18.6米。

推论:短直段转向管道支架布置。

若直段长度:


只需在转向处设置侧向抗震支架即可。

8.3.7 水平管线通过垂直管线与地面设备连接时,管线与设备之间采用柔性连接。水平管线距垂直管线600mm范围内设置侧向支撑。垂直管线底部距地面大于0.15m应设置抗震支撑。

地震力水平力计算及受力校核:

3.4.4 建筑机电工程的地震作用计算方法,应符合下列要求:

各构件和部件的地震力应施加于其重心,水平地震力应沿任一水平方向;

建筑机电工程自身重力产生的地震作用可采用等效侧力法计算;对支承于不同楼层或防震缝两侧的建筑机电工程,除自身重力产生的地震作用外,尚应同时计算地震时支承点之间相对位移产生的作用效应;

建筑机电设备(含支架)的体系自振周期大于0.1s且其重力超过所在楼层重力的1%,或建筑机电设备的重力超过所在楼层重力的10%时,宜进入整体结构模型进行抗震计算,也可采用楼面反应谱方法计算。其中,与楼盖非弹性连接的设备,可直接将设备与楼盖作为一个质点计入整个结构的分析中得到设备所受的地震作用。

采用等效侧力法计算是一种简单可行的方法。

采用等效侧力法时,水平地震作用标准值按下列公式计算:

F=γηζ1ζ2αmaxG (3.4.5)

F:沿*不利方向施加于机电工程设施重心处的水平地震作用标准值;

γ:非结构构件功能系数,按本规范3.4.1 条执行;

η:非结构构件类别系数,按本规范3.4.1 条执行;

ζ1:状态系数;对支承点低于质心的任何设备和柔性体系宜取2.0,其余情况可取1.0;(此处:吊架应该都取1.0)

ζ2:位置系数,建筑的顶点宜取2.0,底部宜取1.0,沿高度线性分布;(建筑地下室应该取1.0)

αmax:地震影响系数*大值;可按本规范第3.3.5条中多遇地震的规定采用;

G:区段管线重量:1)应包括管道及其中额定负载介质的重力,2)计入支管重量;

水平地震力综合系数:αEk=γηζ1ζ2αmax

注:抗震支吊架要求计算的αEk不小于0.5。

功能系数和类别系数:

水平地震影响系数*大值(表3.3.5)

注:括号中数值分别用于设计基本地震加速度为0.15g和0.30g的地区。

受力校核:

3.5.1 建筑机电工程设施工程的地震作用效应(包括自身重力产生的效应和支座相对位移产生的效应)和其他荷载效应的基本组合,应按下列计算 S=γGSGE+γEhSEhk (3.5.1)

S:机电工程设施或构件内力组合的设计值,包括组合的弯矩、轴向力和剪力设计值;

γG:重力荷载分项系数,一般情况应采用1.2;

γEh:为水平地震作用分项系数,取1.3;

Senk:水平地震作用标准值的效应。

注:在抗震支架计算时一般只需考虑水平地震作用。

10.2.2 机电工程设施构件抗震验算时,磨擦力不得作为抵抗地震作用的抗力;承载力抗震调整系数,可采用1.0,并应满足下式要求:S≤R(R为构件承载力设计值)

注:抗震支架承载力大于管线的地震作用。

杆件受力:

水平力方向造成的两种杆件受力状态。

杆件受力由连接配件,立杆及斜撑,锚栓共同传递给结构;

支架设计应确保连接(配件及支撑等)。

地震力作用下的强度验算

斜撑及抗震连接构件的强度验算(受压校核和配件强度);

吊杆的强度验算;

各锚固体的强度验算,包括斜撑锚栓、吊杆锚栓等;

管束的强度验算;

支架构造规定:

8.3.4 抗震支吊架的斜撑与吊架的距离不得超过0.1m;

8.3.11 侧向、纵向抗震支吊架的斜撑安装,垂直角度宜为45°,且不得小于30°;

3.1.8 穿过隔震层的建筑机电工程管道应采用柔性连接或其他有*措施,并应在隔震层两侧设置抗震支架。

明确了隔震层位置支架的处理。

8.3.13 沿墙敷设的管道当设有入墙的托架、支架且管卡能紧固管道四周时,可作为一个侧向抗震支吊架。

8.3.14单管(杆)抗震支吊架的设置应符合下列要求:

1)连接立管的水平管道应在靠近立管0.6m范围内设置*一个抗震吊架;

2)当立管长度超过1.8m时应在其顶部及底部设置四向抗震支吊架,当长度大于7.6m时应在中间加设抗震支吊架;

3)当立管通过套管穿越结构楼层时,套管可限制管道水平移动,可作为水平方向四向抗震支撑使用;

4)当管道中安装的附件自身质量超过25kg时,应设置侧向及纵向抗震支吊架;

8.3.12 抗震吊架斜撑安装不应偏离其中心线2.5°;

8.3.9 不得将抗震支架安装在非结构主体部位,如轻质隔墙等;

8.3.15门型抗震支吊架的设置应符合下列要求:

1)门型抗震支吊架应有一个侧向抗震支吊架或两个纵向抗震支吊架;

2)同一承重吊架悬挂多层门型吊架,应对承重吊架分别独立加固并设置抗震斜撑;

3)门型抗震支吊架侧向及纵向斜撑应安装在上层横梁或承重吊架连接处;

4)当管道上的附件质量超过25kg且与管道采用刚性连接时,或附件质量为9kg~25kg且与管道采用柔性连接时,应设置侧向及纵向抗震支吊架;


GB-50981-2014 建筑机电工程抗震设计规范中

8.1.2条规定:组成抗震支吊架的所有构件应采用成品构件,连接紧固件的构造应便于安装。

第3.5.2条规定:建筑机电工程设施构建抗震验算

JGJ339-2015 非结构构件抗震设计规范中第3.3.2条


振大企业精神:“诚信、创新、精技、合作”